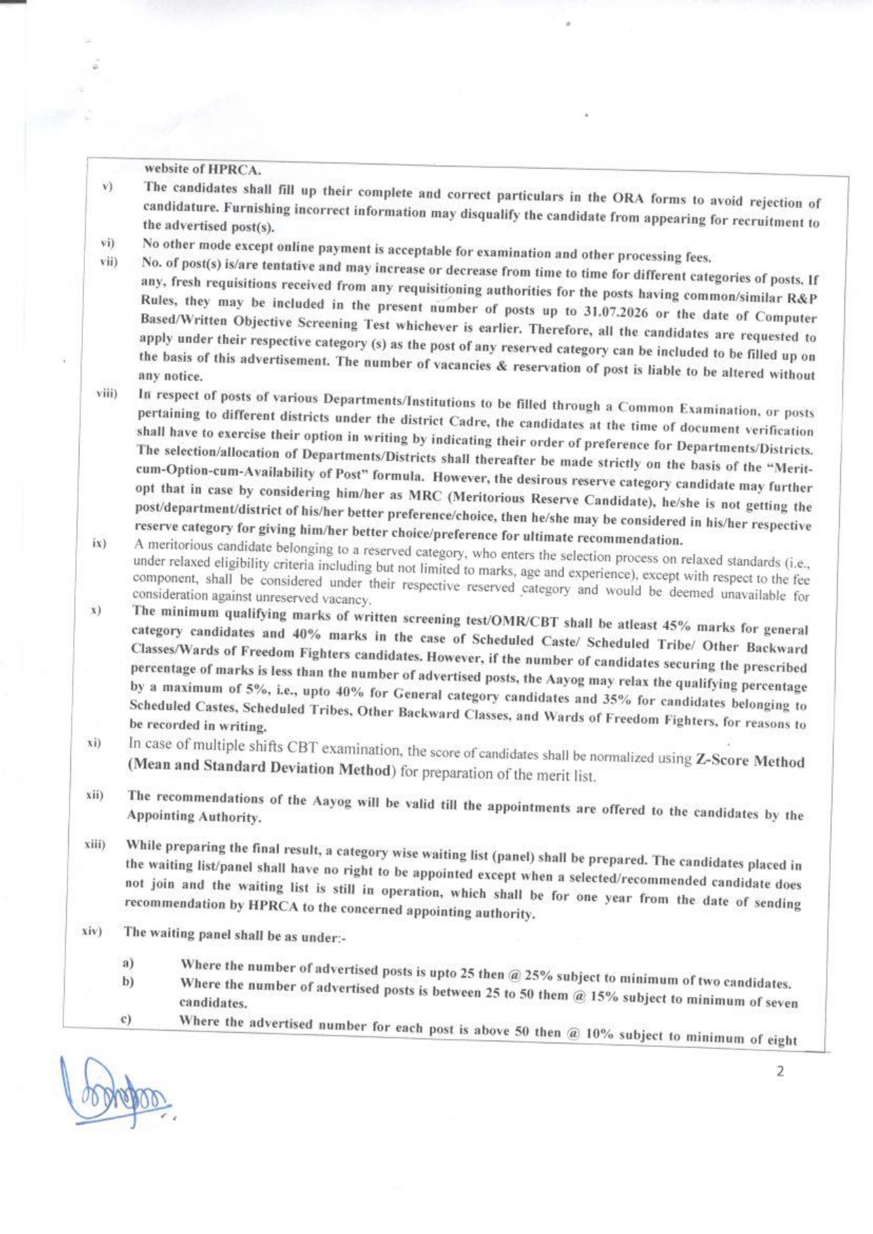
Breaking News

  • चंबा जिला के ट्रक चालक से अंबाला में लूटपाट, विरोध करने पर अपराधियों ने ली जान
  • शिमला पुलिस की बड़ी सर्जिकल स्ट्राइक : बाहरी राज्यों से चिट्टा सप्लाई करने वाले 3 इंटरस्टेट सरगना गिरफ्तार
  • हमीरपुर : पनियाला में 34 वर्षीय युवक रहस्यमयी परिस्थितियों में लापता, तलाश में जुटी पुलिस
  • बकरीद 2026 : केंद्र सरकार ने बदला छुट्टी का दिन, अब 27 की जगह 28 मई को रहेगा अवकाश
  • देशभर में ईंधन की तपिश : 10 दिन में चौथी बार बढ़े पेट्रोल-डीजल के दाम, जानें नए भाव
  • हिमाचल पंचायत चुनाव : पहले चरण के लिए 26 मई को 1293 पंचायतों में होगी वोटिंग
  • भयंकर गर्मी में लू से कैसे बचें : जान लीजिए सेहतमंद रहने के ये आसान उपाय
  • राज्यपाल कविंद्र गुप्ता से मिला भाजपा प्रतिनिधिमंडल, समक्ष रखे जनहित एवं प्रशासनिक मुद्दे
  • दोस्तों के साथ चूड़धार यात्रा पर निकला था युवक, नेरवा क्षेत्र में खड्ड में डूबने से गई जान
  • खबर का असर : नूरपुर क्षेत्र में गंदे पानी की समस्या पर तुरंत एक्शन मोड में आया विभाग

हिमाचल में जेबीटी के 600 पदों पर भर्ती शुरू, इस दिन से करें आवेदन

ewn24 news choice of himachal 09 Mar,2026 7:07 pm

Himachal Latest

Live video

Jobs/Career

Trending News

  • Crime

  • Accident

  • Politics

  • Education

  • Exam

  • Weather